La fórmula para valorar el criterio precio es uno de los asuntos mas debatidos en el ámbito de la contratación administrativa, en especial en estos días a raíz de la resolución 1213/2025 del Tribunal Administrativo Central de Recursos Contractuales, en la que se valida la formula proporcional inversa (1).
Este tema ha sido objeto de numerosos y rigurosos análisis por especialistas en la materia, por lo que me permito recomendar algunos comentarios en la nota al pie.
En la presente entrada no pretendo enjuiciar ninguna fórmula matemática desde un punto de vista legal, sino analizar cómo la aplicación de algunas fórmulas distorsiona el resultado final de la licitación. Debemos tener siempre presente que la utilización de una fórmula no es neutral: puede generar efectos no deseados en algunas ocasiones.
Acabaré la entrada enunciando la fórmula que a mi juicio mejor respeta el criterio de oferta mas ventajosa; al final todos tenemos «nuestra fórmula de cabecera».
A modo de reflexión sobre el tipo de fórmula a utilizar me voy a plantear algunos interrogantes.
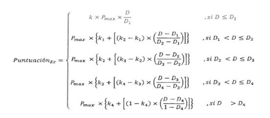
- ¿El aumento de puntuación debe ser siempre proporcional a la baja de precio o pueden utilizarse fórmulas que conforme aumenta la baja se reduce el porcentaje en el que se incrementan los puntos concedidos?
Ejemplo.


En esta fórmula la pendiente disminuye a medida que la baja en el precio aumenta, especialmente a partir del 30% de descuento sobre el precio de licitación.
A mi juicio, debe existir una proporcionalidad constante entre el aumento de la baja y el incremento de la puntuación. Se podrá contra argumentar que fórmulas de este tipo desincentivan las bajas y que ese es un efecto plausible; sin embargo, si el objetivo es desincentivar las bajas y, en consecuencia, que se conceda una mayor relevancia a los criterios relacionados con la calidad la opción más eficiente es reducir la ponderación al criterio precio.
- ¿Son admisibles las fórmulas que otorgan puntuación a las ofertas que igualen al presupuesto base de licitación?
Ejemplo

A mi juicio, no deben utilizarse fórmulas que concedan puntuación a ofertas que no supongan un esfuerzo económico por parte del licitador.
El uso de este tipo de fórmulas reduce de forma significativa la incidencia del criterio precio en el resultado final, otorgando una relevancia desproporcionada a los criterios vinculados con la calidad. Si ese es precisamente el efecto que se pretende alcanzar, resulta más coherente y eficiente reducir directamente la ponderación asignada al precio.
- ¿Son admisibles las fórmulas que ponen en juego toda la puntuación, es decir, que otorguen 0 puntos a la oferta que sea igual al presupuesto base de licitación y todos los puntos a la mejor oferta?
Ejemplo.

A mi juicio, las fórmulas no deben repartir necesariamente todos los puntos del criterio precio dado que ello podría producir el «efecto céntimo» y desvirtuar la puntuación de los criterios relacionados con la calidad; la fórmula deberá atender siempre al esfuerzo económico de la oferta.
Ejemplo de fórmulas con efecto céntimo

- ¿Son admisibles las fórmulas que establezcan umbrales de saciedad, es decir, fórmulas que limiten la valoración de las ofertas y no concedan puntos adicionales a aquellas proposiciones que sean inferiores a una determinada cifra o porcentaje de baja?
Después de un largo debate, la Sentencia del Tribunal Supremo 1786/2024, de 5 de marzo de 2024, ha confirmado la validez de los umbrales de saciedad.
La cuestión es cuándo tiene sentido utilizar los umbrales. A mi juicio, el umbral solo debe utilizarse cuando se pretenda garantizar la viabilidad en la ejecución del contrato evitando ofertas excesivamente agresivas que pudieran comprometer su correcta ejecución. No obstante, esta finalidad también puede conseguirse estableciendo el límite de las ofertas anormalmente bajas en el propio umbral de saciedad; bien es cierto que puede sostenerse, en sentido contrario, que la oferta anormal siempre es susceptible de justificación.
A partir de lo expuesto entiendo que la fórmula debe responder a los siguientes criterios:
- Debe ser sencilla; que no sea necesario tener un doble grado de matemáticas y física para su interpretación.
- Debe ser proporcional, de manera que a mayor baja mayor puntuación; la mejor puntuación debe corresponder siempre a la mejor oferta económica.
- La diferencia de puntuación entre las ofertas debe ser proporcional a la diferencia de las bajas entre las mismas.
- No deben concederse puntuación a las ofertas que igualen el presupuesto base de licitación.
- Solo deben utilizarse umbrales de saciedad en casos especialmente justificados.
- Solo deben repartirse todos los puntos del criterio precio cuando la mejor oferta admitida a licitación alcance un umbral que se considere el más competitivo posible; la cuestión es determinar ese umbral. A mi juicio, ese umbral se produce cuando la mejor oferta alcance el límite establecido que se corresponda con la oferta anormal referida al criterio precio o a aquella inferior que sea admitida a la licitación después de tramitar el procedimiento de justificación.
Atendiendo a estos criterios se propone la siguiente fórmula.
Se asignarán 0 puntos a la oferta que coincida con el presupuesto base de licitación, puntuándose el resto de acuerdo a la siguiente fórmula:

P: Puntos a repartir.
PBL: Presupuesto base de licitación.
OV: Oferta a valorar.
K: factor que será la menor de las siguientes cantidades:
- Siendo K1:
- Cuando concurra un solo licitador, oferta equivalente al presupuesto base de licitación menos 40 unidades porcentuales.
- Cuando concurran dos licitadores, oferta equivalente a la oferta más alta menos 30 unidades porcentuales.
- Cuando concurran tres o más licitadores, oferta equivale a la media aritmética de todas las ofertas presentadas menos 25 unidades porcentuales de dicha media.
- Siendo K2: Oferta más baja admitida a licitación.
En la fórmula propuesta el factor K1 se corresponde con los criterios establecidos en el pliego de cláusulas administrativas que permitan identificar los casos en que una oferta se considere anormal al amparo del artículo 149.2 LCSP; criterios que dependerán del caso concreto.
No obstante, se establece un criterio K2 para aquel caso en que habiéndose presentado una oferta anormalmente baja la misma sea admitida a la licitación después de su justificación de acuerdo al artículo 149.4 LCSP.
La totalidad de los puntos se otorgarán a aquella fórmula que sea igual al menor de estos dos factores.
Ejemplos

- Sobre las consecuencias de la fórmula validada en esta resolución recomiendo los comentarios de Alberto Robles y Javier Iribarren en LinkedIn, y los comentarios de José María Agüeras sobre la fórmula proporcional inversa en el blog de Pedro Corvinos.
- Recomendaciones:
- Las fórmulas de valoración económica. Problemas prácticos. Carlos Lérida Navarro y Fco. Javier Vázquez Matilla.
- Directriu 1/2020 d’aplicació de fórmules de valoració i puntuació de les proposicions econòmica i técnica.
- Modelo estándar para la valoración del criterio precio en una licitación pública. Juan Barberán González.
- Dos fórmulas de valoración de las ofertas económicas adecuadas a la Ley 9/2017, de Contratos del Sector Público. Carles Ros Arpa.
- Fórmula n 11. Ponencia de Manuel Fueyo Bros. Zaragoza, 14-5-2015. Fundación Ramón Sáinz de Varanda.
- Informe 6/2014 de la Junta Consultiva de Contratación Aragón.






